
CS-GY 6313 - Fall 2025
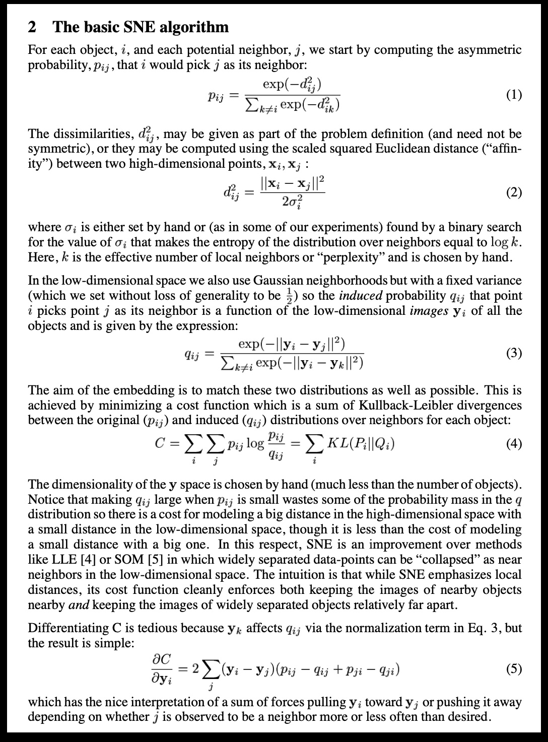
“… the goal of clustering is to separate a set of examples into groups called clusters”







https://distill.pub/2016/misread-tsne/

https://pair-code.github.io/understanding-umap/
Clustering: * Wolfram Clustering Tutorial * Cluster Analysis (Wikipedia)
Dimensionality Reduction: * How to Use t-SNE Effectively (Essential!) * Understanding UMAP * Dimensionality Reduction (Wikipedia)